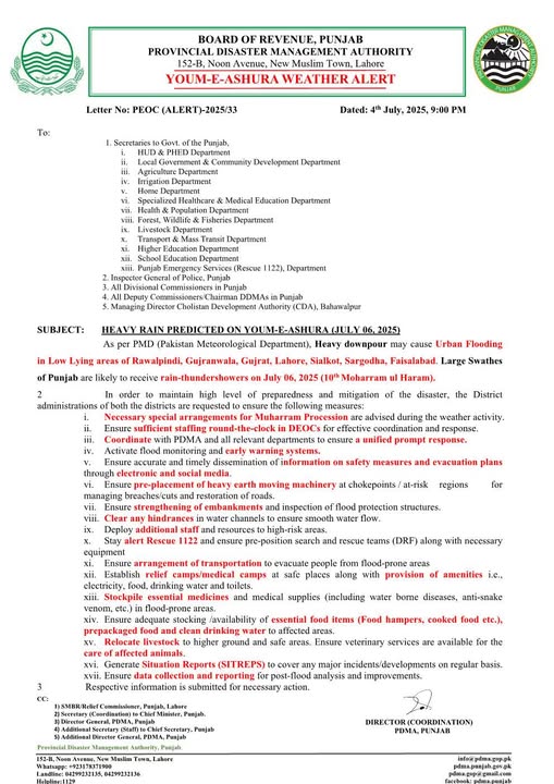
The Provincial Disaster Management Authority (PDMA) is a comprehensive endeavor towards combating natural or man-induced disasters at the Provincial and Local level and securing lives and livelihoods of the affected people.
Gallery
Videos
Reports Highlights
Emergency Helpline
Disasters
Disaster is an occurrence disrupting the normal conditions of existence and causing a level of suffering that exceeds the capacity of adjustment of the affected community.
View AllRescue and Relief
Frequently Asked Questions
What is PDMA?
What are the major functions of PDMA?
PDMA operates to ensure timely and effective response to disasters. In this regard the functions are as following:
- Formulate the provincial disaster management policy obtaining the approval of the Provincial Commission
- Coordinate and monitor the implementation of the National Policy, National Plan and Provincial Plan
- Examine the vulnerability of different parts of the province to different disasters and specify prevention of mitigation measures
- Lay down guidelines to be followed for preparation of disaster management plans by the Provincial Department and District Authorities
- Evaluate preparedness at all governmental or non-governmental levels to respond to disaster and enhance preparedness
- Coordinate response in the event of disaster
Who are the key donors of PDMA?
To view the details of key donor, click here
How can I register my complaint?
What are the measures taken by PDMA, considering the level of emergency?
Localized emergencies such as small scale fires, landslides, canal breaches, and low level epidemics are usually taken care of at the district level. Such emergencies are generally considered as level 1 emergency. PDMA is responsible for level 2 emergencies that overwhelm the capacity of the district administration to manage the situation. A large scale disaster that calls for a response beyond the resources of the provincial government is known as a level 3 emergency. The Prime Minister declares an emergency in the case of a level 3 disaster.




















































































































































































































































































































